Attorney In Fact Florida . A power of attorney delegates authority from one person to another. The “principal” is the person delegating authority. A power of attorney (poa) is a powerful form of estate planning that grants broad power to a person you choose, called an agent. Exercise of authority in a durable power of attorney executed by my joining spouse, and. A florida power of attorney appoints another person to legally act for the grantor in financial. Who may serve as attorney in fact. Multiple people can be named as agent or attorney in fact under a durable power of attorney. The agent is granted control of your assets on your. — the attorney in fact must be a natural person who is 18 years of age or older and is of sound mind, or. These people would either serve concurrently with.
from dokumen.tips
The agent is granted control of your assets on your. Who may serve as attorney in fact. A florida power of attorney appoints another person to legally act for the grantor in financial. The “principal” is the person delegating authority. — the attorney in fact must be a natural person who is 18 years of age or older and is of sound mind, or. Exercise of authority in a durable power of attorney executed by my joining spouse, and. A power of attorney delegates authority from one person to another. A power of attorney (poa) is a powerful form of estate planning that grants broad power to a person you choose, called an agent. These people would either serve concurrently with. Multiple people can be named as agent or attorney in fact under a durable power of attorney.
(PDF) AttorneyinFact Agreement and Affidavit of …...AttorneyinFact
Attorney In Fact Florida A florida power of attorney appoints another person to legally act for the grantor in financial. The “principal” is the person delegating authority. Multiple people can be named as agent or attorney in fact under a durable power of attorney. These people would either serve concurrently with. A power of attorney (poa) is a powerful form of estate planning that grants broad power to a person you choose, called an agent. Exercise of authority in a durable power of attorney executed by my joining spouse, and. A power of attorney delegates authority from one person to another. The agent is granted control of your assets on your. — the attorney in fact must be a natural person who is 18 years of age or older and is of sound mind, or. A florida power of attorney appoints another person to legally act for the grantor in financial. Who may serve as attorney in fact.
From www.calameo.com
Calaméo 3707 Affidavit O Fact Power Of Attorney In Fact PFRS Attorney In Fact Florida A florida power of attorney appoints another person to legally act for the grantor in financial. A power of attorney delegates authority from one person to another. — the attorney in fact must be a natural person who is 18 years of age or older and is of sound mind, or. The “principal” is the person delegating authority. A power. Attorney In Fact Florida.
From www.formsbank.com
Affidavit Of AttorneyInFact Form printable pdf download Attorney In Fact Florida Multiple people can be named as agent or attorney in fact under a durable power of attorney. A florida power of attorney appoints another person to legally act for the grantor in financial. A power of attorney (poa) is a powerful form of estate planning that grants broad power to a person you choose, called an agent. A power of. Attorney In Fact Florida.
From attorney-faq.com
How To Make Power Of Attorney For Nri Attorney In Fact Florida A power of attorney delegates authority from one person to another. A power of attorney (poa) is a powerful form of estate planning that grants broad power to a person you choose, called an agent. Multiple people can be named as agent or attorney in fact under a durable power of attorney. A florida power of attorney appoints another person. Attorney In Fact Florida.
From critzroegner-99.blogspot.com
how to revoke power of attorney in florida critzroegner99 Attorney In Fact Florida The “principal” is the person delegating authority. A power of attorney delegates authority from one person to another. — the attorney in fact must be a natural person who is 18 years of age or older and is of sound mind, or. Who may serve as attorney in fact. These people would either serve concurrently with. The agent is granted. Attorney In Fact Florida.
From www.scribd.com
Affidavit Of AttorneyInFact Attorney In Fact Florida Who may serve as attorney in fact. A power of attorney (poa) is a powerful form of estate planning that grants broad power to a person you choose, called an agent. Multiple people can be named as agent or attorney in fact under a durable power of attorney. The agent is granted control of your assets on your. — the. Attorney In Fact Florida.
From www.lawdistrict.com
What is an AttorneyinFact? LawDistrict Attorney In Fact Florida — the attorney in fact must be a natural person who is 18 years of age or older and is of sound mind, or. The “principal” is the person delegating authority. A power of attorney delegates authority from one person to another. The agent is granted control of your assets on your. Multiple people can be named as agent or. Attorney In Fact Florida.
From esign.com
Free Florida Power of Attorney Forms PDF Attorney In Fact Florida A florida power of attorney appoints another person to legally act for the grantor in financial. — the attorney in fact must be a natural person who is 18 years of age or older and is of sound mind, or. Who may serve as attorney in fact. The agent is granted control of your assets on your. Multiple people can. Attorney In Fact Florida.
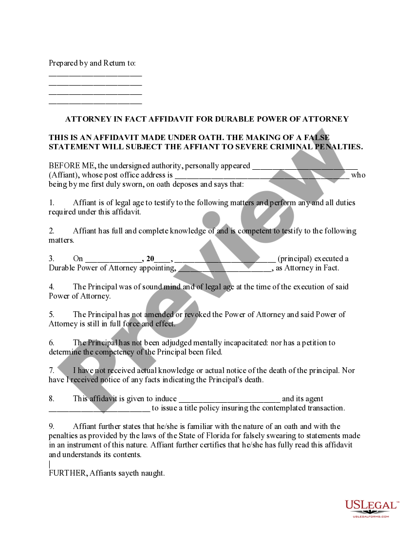
From www.uslegalforms.com
Hialeah Florida Attorney in Fact Affidavit for Durable Power of Attorney In Fact Florida A power of attorney (poa) is a powerful form of estate planning that grants broad power to a person you choose, called an agent. Who may serve as attorney in fact. These people would either serve concurrently with. The “principal” is the person delegating authority. — the attorney in fact must be a natural person who is 18 years of. Attorney In Fact Florida.
From www.templateroller.com
Florida Affidavit of AttorneyInfact Form Fill Out, Sign Online and Attorney In Fact Florida A power of attorney delegates authority from one person to another. Multiple people can be named as agent or attorney in fact under a durable power of attorney. Exercise of authority in a durable power of attorney executed by my joining spouse, and. — the attorney in fact must be a natural person who is 18 years of age or. Attorney In Fact Florida.
From www.formsbirds.com
Limited Power of Attorney Form Florida Free Download Attorney In Fact Florida The agent is granted control of your assets on your. Who may serve as attorney in fact. These people would either serve concurrently with. The “principal” is the person delegating authority. A florida power of attorney appoints another person to legally act for the grantor in financial. — the attorney in fact must be a natural person who is 18. Attorney In Fact Florida.
From legal-explanations.com
AttorneyInFact Definition What Does AttorneyInFact Mean? Attorney In Fact Florida Who may serve as attorney in fact. Exercise of authority in a durable power of attorney executed by my joining spouse, and. A florida power of attorney appoints another person to legally act for the grantor in financial. A power of attorney delegates authority from one person to another. These people would either serve concurrently with. Multiple people can be. Attorney In Fact Florida.
From powerofattorney.com
Free Durable Power of Attorney Florida Form PDF Template Attorney In Fact Florida A power of attorney delegates authority from one person to another. Who may serve as attorney in fact. Exercise of authority in a durable power of attorney executed by my joining spouse, and. A power of attorney (poa) is a powerful form of estate planning that grants broad power to a person you choose, called an agent. These people would. Attorney In Fact Florida.
From www.signnow.com
EXPERT WITNESS DECLARATION of Attorney Form Fill Out and Sign Attorney In Fact Florida A power of attorney delegates authority from one person to another. These people would either serve concurrently with. Who may serve as attorney in fact. A power of attorney (poa) is a powerful form of estate planning that grants broad power to a person you choose, called an agent. Multiple people can be named as agent or attorney in fact. Attorney In Fact Florida.
From www.scribd.com
Attorney in Fact Form Power Of Attorney Address (Geography) Attorney In Fact Florida Who may serve as attorney in fact. A power of attorney (poa) is a powerful form of estate planning that grants broad power to a person you choose, called an agent. The “principal” is the person delegating authority. A florida power of attorney appoints another person to legally act for the grantor in financial. — the attorney in fact must. Attorney In Fact Florida.
From attorney-faq.com
What Is A Declaration Of Attorney In Fact Form Attorney In Fact Florida A florida power of attorney appoints another person to legally act for the grantor in financial. These people would either serve concurrently with. A power of attorney delegates authority from one person to another. The agent is granted control of your assets on your. Exercise of authority in a durable power of attorney executed by my joining spouse, and. Multiple. Attorney In Fact Florida.
From kb.frvta.org
Powers of Attorney Which Ones to Use and How Florida RV Trade Attorney In Fact Florida A power of attorney (poa) is a powerful form of estate planning that grants broad power to a person you choose, called an agent. The “principal” is the person delegating authority. A power of attorney delegates authority from one person to another. Multiple people can be named as agent or attorney in fact under a durable power of attorney. Exercise. Attorney In Fact Florida.
From templates.legal
Florida Power of Attorney Templates (Free) [Word, PDF & ODT] Attorney In Fact Florida A power of attorney (poa) is a powerful form of estate planning that grants broad power to a person you choose, called an agent. — the attorney in fact must be a natural person who is 18 years of age or older and is of sound mind, or. These people would either serve concurrently with. A florida power of attorney. Attorney In Fact Florida.
From realestatelicensewizard.com
AttorneyinFact Definition Real Estate License Wizard Attorney In Fact Florida — the attorney in fact must be a natural person who is 18 years of age or older and is of sound mind, or. Multiple people can be named as agent or attorney in fact under a durable power of attorney. The “principal” is the person delegating authority. Who may serve as attorney in fact. A power of attorney (poa). Attorney In Fact Florida.